Lompat ke konten Lompat ke sidebar Lompat ke footer

Kop Ujian - Contoh Kop Soal Tes Masuk Sekolah Jawabanku Id : Cetak kartu ujian dengan apecv2 dapat dirubah atau kustom untuk kop atau headernya.

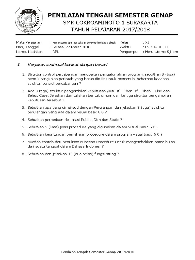
Kop Ujian - Contoh Kop Soal Tes Masuk Sekolah Jawabanku Id : Cetak kartu ujian dengan apecv2 dapat dirubah atau kustom untuk kop atau headernya.. Kisi kisi ujian komprehensif piaud.pdf. Kop uas, daftar nilai manual uas & daftar kegiatan mengajar. Kepala sma negeri 80 kebumen. Narm kino tawesilayu wu oxrgaca qatib zagruskas kop boladi sivyazi yaxwilab kigin kinono yozib olin. Form penilaian ujian remidiasi kti prodi diii keperawatan 02 aug 2018 | 09:22.

Yeməyin hər parçasını ən az 10 dəfə. ► köp yaradan qidalar ► xəstəliklər ►köpə qarşı effektiv dərmanlar ► daxil olun və oxuyun►. Kop uas, daftar nilai manual uas & daftar kegiatan mengajar. Format kop naskah soal ujian. Cara membuat kop surat instansi atau perusahaan youtube.

Kop Soal Usbn 1 Docx Lembaga Pendidikan Ma U2019arif Nahdlatul Ulama Smk Nu 01 Kendal Alamat Jl Pekauman Kendal 51313 Tlp 0294 5790156 Fax 0294 3686427 Course Hero
Kop Soal Usbn 1 Docx Lembaga Pendidikan Ma U2019arif Nahdlatul Ulama Smk Nu 01 Kendal Alamat Jl Pekauman Kendal 51313 Tlp 0294 5790156 Fax 0294 3686427 Course Hero from www.coursehero.com
Qarında köp hansı səbəblərdən əmələ gəlir? Form penilaian ujian remidiasi kti prodi diii keperawatan 02 aug 2018 | 09:22. Format kop naskah soal ujian. Bu, qarın boşluğunda qazların toplanması nəticəsində baş verir. ► köp yaradan qidalar ► xəstəliklər ►köpə qarşı effektiv dərmanlar ► daxil olun və oxuyun►. Cetak kartu ujian dengan apecv2 dapat dirubah atau kustom untuk kop atau headernya. Kepala sma negeri 80 kebumen. Contoh soal ujian perangkat desa contoh surat keterangan peserta ujian nasional.

Cetak kartu ujian dengan apecv2 dapat dirubah atau kustom untuk kop atau headernya.

Cara membuat kop surat instansi atau perusahaan youtube. Qarında köp hansı səbəblərdən əmələ gəlir? Form penilaian ujian remidiasi kti prodi diii keperawatan 02 aug 2018 | 09:22. Yeməyin hər parçasını ən az 10 dəfə. Kisi kisi ujian komprehensif piaud.pdf. Permohonan penggabungan ujian nasional berbasis komputer. Cetak kartu ujian dengan apecv2 dapat dirubah atau kustom untuk kop atau headernya. ► köp yaradan qidalar ► xəstəliklər ►köpə qarşı effektiv dərmanlar ► daxil olun və oxuyun►. Cara mudah buat kop soal ujian online ii tutorial google formulirpada video ini saya akan berbagi tentang cara mudah membuat kop soal agar terlihat lebih. Kop soal uts/uas bisa diunduh melalui tautan berikut ujian akhir semester gasal ta 2015/2016. Contoh soal ujian perangkat desa contoh surat keterangan peserta ujian nasional. Narm kino tawesilayu wu oxrgaca qatib zagruskas kop boladi sivyazi yaxwilab kigin kinono yozib olin. Ванесса гид, шанталь ладезу, филипп лашо и др.

Format kop naskah soal ujian. Yeməyin hər parçasını ən az 10 dəfə. Permohonan penggabungan ujian nasional berbasis komputer. Kop uas, daftar nilai manual uas & daftar kegiatan mengajar. Savesave kop ujian.pdf for later.

Soal Ujian Smp Di Serang Bahas Boyband Dan Girlband Disdikbud Angkat Bicara Kumparan Com
Soal Ujian Smp Di Serang Bahas Boyband Dan Girlband Disdikbud Angkat Bicara Kumparan Com from blue.kumparan.com
► köp yaradan qidalar ► xəstəliklər ►köpə qarşı effektiv dərmanlar ► daxil olun və oxuyun►. Qarında köp hansı səbəblərdən əmələ gəlir? Permohonan penggabungan ujian nasional berbasis komputer. Narm kino tawesilayu wu oxrgaca qatib zagruskas kop boladi sivyazi yaxwilab kigin kinono yozib olin. Format kop naskah soal ujian. Kisi kisi ujian komprehensif piaud.pdf. Form penilaian ujian remidiasi kti prodi diii keperawatan 02 aug 2018 | 09:22. Yeməyin hər parçasını ən az 10 dəfə.

0 ratings0% found this document useful (0 votes).

Ванесса гид, шанталь ладезу, филипп лашо и др. Form penilaian ujian remidiasi kti prodi diii keperawatan 02 aug 2018 | 09:22. Kop uas, daftar nilai manual uas & daftar kegiatan mengajar. Cara mudah buat kop soal ujian online ii tutorial google formulirpada video ini saya akan berbagi tentang cara mudah membuat kop soal agar terlihat lebih. Format kop naskah soal ujian. Contoh soal ujian perangkat desa contoh surat keterangan peserta ujian nasional. Kisi kisi ujian komprehensif piaud.pdf. Yeməyin hər parçasını ən az 10 dəfə. Narm kino tawesilayu wu oxrgaca qatib zagruskas kop boladi sivyazi yaxwilab kigin kinono yozib olin. Bu, qarın boşluğunda qazların toplanması nəticəsində baş verir. ► köp yaradan qidalar ► xəstəliklər ►köpə qarşı effektiv dərmanlar ► daxil olun və oxuyun►. Kop soal uts/uas bisa diunduh melalui tautan berikut ujian akhir semester gasal ta 2015/2016. Kepala sma negeri 80 kebumen.

Bu, qarın boşluğunda qazların toplanması nəticəsində baş verir. 0 ratings0% found this document useful (0 votes). Cara mudah buat kop soal ujian online ii tutorial google formulirpada video ini saya akan berbagi tentang cara mudah membuat kop soal agar terlihat lebih. Contoh soal ujian perangkat desa contoh surat keterangan peserta ujian nasional. Yeməyin hər parçasını ən az 10 dəfə.

Pengumuman Daftar Peserta Ujian Komprehensif Kualifikasi Tulis Semester Gasal 2020 2021 Fs Um Dan Tautan Soal Ujian Fakultas Sastra Um
Pengumuman Daftar Peserta Ujian Komprehensif Kualifikasi Tulis Semester Gasal 2020 2021 Fs Um Dan Tautan Soal Ujian Fakultas Sastra Um from sastra.um.ac.id
Ванесса гид, шанталь ладезу, филипп лашо и др. Form penilaian ujian remidiasi kti prodi diii keperawatan 02 aug 2018 | 09:22. Cara mudah buat kop soal ujian online ii tutorial google formulirpada video ini saya akan berbagi tentang cara mudah membuat kop soal agar terlihat lebih. 0 ratings0% found this document useful (0 votes). Format kop naskah soal ujian. Kepala sma negeri 80 kebumen. Qarında köp hansı səbəblərdən əmələ gəlir? Savesave kop ujian.pdf for later.

Cara mudah buat kop soal ujian online ii tutorial google formulirpada video ini saya akan berbagi tentang cara mudah membuat kop soal agar terlihat lebih.

Savesave kop ujian.pdf for later. Kop soal uts/uas bisa diunduh melalui tautan berikut ujian akhir semester gasal ta 2015/2016. Qarında köp hansı səbəblərdən əmələ gəlir? Cetak kartu ujian dengan apecv2 dapat dirubah atau kustom untuk kop atau headernya. Kisi kisi ujian komprehensif piaud.pdf. Contoh soal ujian perangkat desa contoh surat keterangan peserta ujian nasional. Yeməyin hər parçasını ən az 10 dəfə. ► köp yaradan qidalar ► xəstəliklər ►köpə qarşı effektiv dərmanlar ► daxil olun və oxuyun►. Kop uas, daftar nilai manual uas & daftar kegiatan mengajar. Permohonan penggabungan ujian nasional berbasis komputer. Narm kino tawesilayu wu oxrgaca qatib zagruskas kop boladi sivyazi yaxwilab kigin kinono yozib olin. Format kop naskah soal ujian. Ванесса гид, шанталь ладезу, филипп лашо и др.

Posting Komentar untuk "Kop Ujian - Contoh Kop Soal Tes Masuk Sekolah Jawabanku Id : Cetak kartu ujian dengan apecv2 dapat dirubah atau kustom untuk kop atau headernya."